Μετάβαση στην αρχική σελίδα
  • Είσοδος
  1. Αρχική Σελίδα
  2. ΑΣΤΙΚΗ ΥΔΡΑΥΛΙΚΗ
  3. Έγγραφα

ΑΣΤΙΚΗ ΥΔΡΑΥΛΙΚΗ

Έγγραφα

Επάνω
Αρχικός κατάλογος » ΛΥΣΕΙΣ ΘΕΜΑΤΩΝ ΙΟΥΝΙΟΥ 2014  
ΤύποςΌνομα ΚάτωΜέγεθοςΗμερομηνία
A.jpeg 308.78 KB19-08-2014
B.jpeg 304.75 KB19-08-2014
Γ.jpeg 330.77 KB19-08-2014
Δ.jpeg 305.5 KB19-08-2014
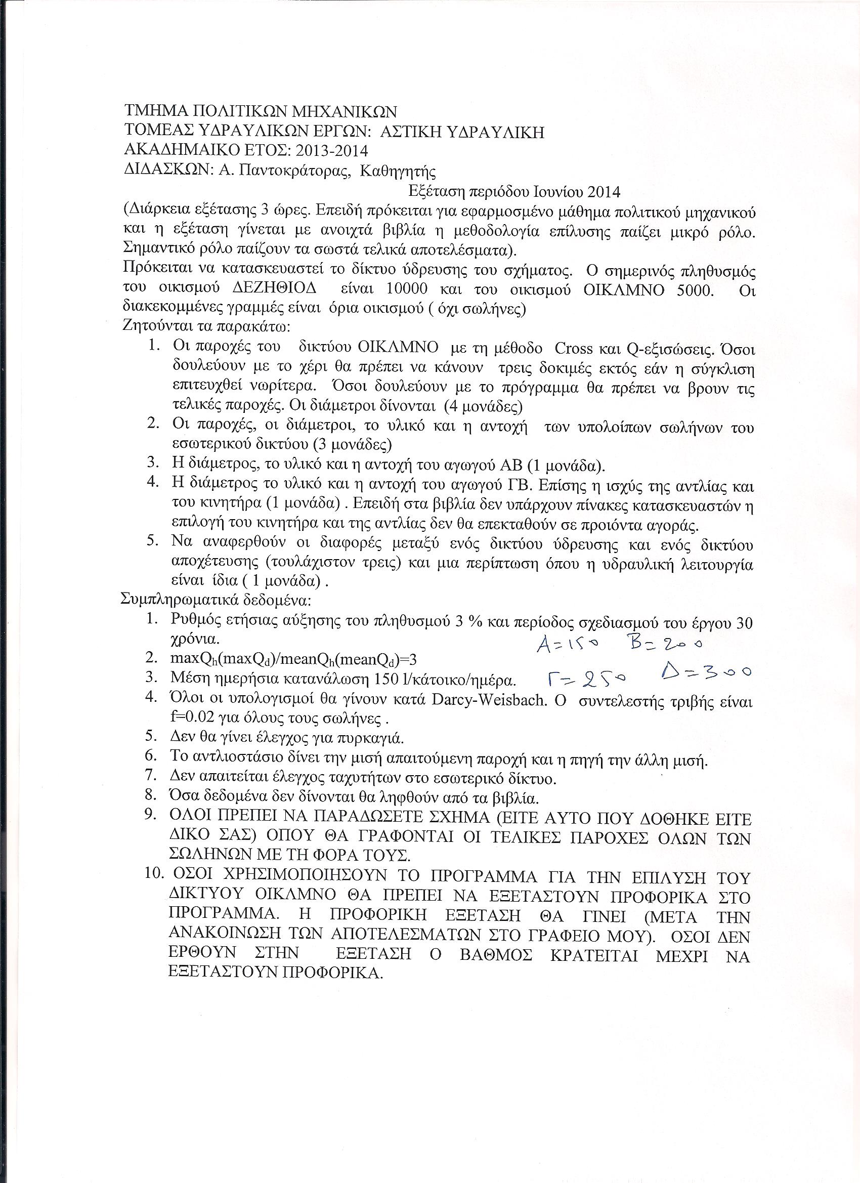
ΕΚΦΩΝΗΣΗ.jpeg 532.25 KB19-08-2014
Μετάβαση στην αρχική σελίδα

Επιλογές Μαθήματος

Έγγραφα Ανακοινώσεις Ασκήσεις Βαθμολόγιο Γλωσσάριο Εργασίες Ερωτηματολόγια Ημερολόγιο Μηνύματα Συζητήσεις Συνομιλία Σύνδεσμοι
Open eClass © 2003-2026 — Όροι Χρήσης